5G Energy Consumption: What's the Impact of 5G NR in Real Networks?

Oct 14, 2021 11:05 AM ET

Originally published by Ericsson.

A snapshot of the cellular-network power consumption

To understand the power usage in real 5G networks and RAN nodes, we take a closer look at data from a European network. Data was collected from all nodes every 15 minutes for 24 hours in July 2021.

See Figure 1: Energy measurements from a European operator network, total and for the most frequent products, respectively.

The histogram on the left shows all energy measurements from the network. The right-hand figure reveals the individual histograms for the five most frequent products in this network, which are grouped and separated by color. We can clearly see that the total power consumption of the network (to the left) is dominated by the characteristics of these products.

Let’s analyze the graphs in more detail, starting with the left figure. There is a large spike close to zero-energy indicating that some nodes are deactivated during low-traffic hours. Moving on to the individual peaks to the right, we see that some products (like Dual-Band Radio) have a significant spread in energy consumption, indicating good load-dependency between served traffic and corresponding energy consumption. This is the most important characteristic of networks with high energy performance and low energy consumption, as radio access networks are by their nature, distributed typically with very large traffic-load variations.

The rightmost peak in the graph corresponds to Massive-MIMO Radio, a high-capacity 5G-NR radio unit with 64 antennas, capable of transmitting up to 200W over 100MHz. This peak highlights the benefits of building the network with precision, being conscious about deploying the high-capacity products where that capacity is needed.

Why 5G NR is a much better standard in terms of enabling low network energy consumption

Will a future network where 5G NR is deployed everywhere really consume less energy than networks today, even as traffic continues to grow exponentially? Or should the data above give rise to concern?

Fortunately, the 5G NR standard is considerably better compared to previous standards in terms of low-energy operation. The crucial difference is the vastly improved support for energy savings during low-to-medium traffic. 5G NR also has much higher capacity, resulting in a lower load in terms of the fraction of the capacity that a certain traffic volume utilizes.

When examining the traffic patterns in the networks, several short gaps in the data transmissions can be observed, even during highly loaded times (Figure 2). These short gaps are utilized to reduce power consumption in the network by quickly putting components into sleep mode and then activating them again before the next transmission occurs. The longer these time gaps are, the more components can be put to sleep, and the lower the energy consumption becomes.

See Figure 2: Varying network traffic load during the day. The highlighted part shows the gaps in data packet transmissions during a high-traffic situation.

A feature that utilizes these time gaps is known as micro-sleep TX, which puts radio units in sleep mode whenever there is a time gap.

In the 4G standard, these time gaps where micro-sleep TX and other energy saving features can operate are always very short, at the most 0.2ms. This is because the 4G LTE standard mandates that a large amount of synchronization signals, reference signals, and system information should always be transmitted over the entire bandwidth. These signals are needed to secure cell coverage and a good connection with users. But they also limit possible energy savings we can achieve with LTE.

The 5G NR standard has been designed based on the knowledge of typical traffic activity in radio networks, and the need to support sleep states in radio-network equipment. Therefore, 5G NR provides much better support for implementing energy-saving features in network products.

In 5G NR, the time between mandatory transmissions can be as long as 20ms in stand-alone mode and 160ms in non-stand-alone mode. That’s 100 to 800 times longer than the corresponding value of 0.2ms for LTE. In addition, 5G NR requires far less always-on signaling transmissions in the frequency domain. This is often referred to as the ultra-lean design of the 5G NR physical layer.

It is the ultra-lean design of 5G NR that allows for both deeper and longer periods of sleep when there is little or no ongoing data transmission. In this context, little is a relative measure that relates to the capacity of the cell. For the same traffic volume, a high-capacity 5G-NR cell has a lower utilization than an LTE cell with lower capacity, so the high-capacity 5G-NR cell will use less energy.

Since more components can be put in sleep mode for longer periods, there is a significant potential to reduce energy consumption of 5G-NR products and eventually the overall network energy consumption.

Let’s look at an example. In Figure 3, we compare the energy consumption of an empty LTE cell, on top, and an empty 5G-NR cell, on the bottom. There are no active users and there’s no traffic being served. The power consumption in this example is calculated using a power model that was used by the 3GPP during 5G-NR standardization.

See Figure 3: Example of the theoretical base station energy consumption (using base station power models from 3GPP) during idle mode signaling in LTE (top) and NR (bottom). NR is configured to send synchronization signal blocks (SSBs) every 20ms.

The important takeaway is that the 5G-NR standard enables a fundamentally different product behavior that is much more scalable in terms of energy consumption versus traffic.

The ultra-lean design in 5G NR is starting to have a real-world impact

The real-world impact of ultra-lean design is significant, as proven by recent measurements on Ericsson Radio products capable of supporting both 4G LTE and 5G NR.

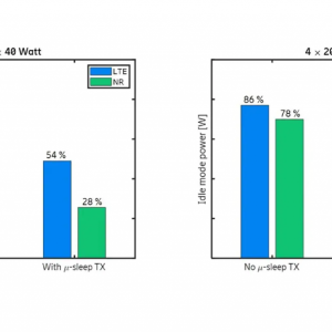
See Figure 4 and Figure 5.

Since NR has significantly fewer always-on signals, the technique of shutting down the power amplifiers during micro-sleep TX provides much larger savings in low and medium traffic scenarios, compared to LTE. Although the use of micro-sleep TX in LTE provides impressive energy savings, this works even better for NR. In the examples provided here, the power-consumption reduction for using micro-sleep TX during idle mode in LTE is approximately 45 percent, while for NR, an even more impressive energy-consumption reduction of 70 percent is achieved.

The improvements made possible with NR and intelligent power-saving techniques do not stop here. Presented in Figure 5, the energy-scaling capabilities of the product dual-band Radio can be observed. This 4-port MIMO and dual-band radio can deliver 4x40 W of radiofrequency power while consuming 1060 W of electric power. The power consumption in other operational states can be significantly lower, for instance 130 W for NR non-stand-alone-idle mode operation. In a real-life network these different operational modes are used in different traffic situations and/or at different times of the day, enabling the optimization of the power consumption in the network.

5G energy consumption: The future

The energy performance we now see in early products (above) is just the beginning. We expect further improvements in later 5G-NR products. Especially in digital components of the radio and in the base-band products, there is still room for improvement. More load dependence in the RAN products will then also enable a much bigger impact on RAN optimization solutions based on AI and ML. The reduced energy consumption that 5G NR brings will reduce the operational cost for service providers, as well as the environmental impact of cellular networks. This will also lead to a significant reduction of product size and weight, as heat dissipation is the key limiting factor for product miniaturization.

Learn more

Read more about network energy performance.

Learn about Ericsson’s 5G NR products with energy efficiency in focus: New Massive MIMO solutions accelerate 5G mid-band.